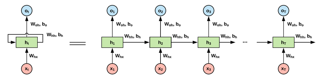
바닐라 RNN

1 개요[ | ]

vanilla RNN, vanila recurrent neural network
바닐라 RNN, 바닐라 순환신경망

Easy-tensorflow.com images-NN-01.png

Researchgate.net Illustration-of-the-vanilla-recurrent-neural-network.png

2 같이 보기[ | ]

3 참고[ | ]

문서 댓글 ({{ doc_comments.length }})
{{ comment.name }} {{ comment.created | snstime }}